Особенности содержания
Главной особенностью содержания коров Казахской белоголовой породой является неприхотливость в кормлении и уходе. Однако некоторые важные моменты отметить необходимо.
Разведение
Телята породы рождаются сравнительно небольшими – около тридцати килограммов. Однако в связи с тем, что они быстро набирают массу, к девятимесячному возрасту их вес достигает трехсот килограммов, к полуторагодовалому – пятисот. Выкармливание телят молоком полностью заканчивается в семь-восемь месяцев. Их выживаемость при соблюдении основных условий содержания свыше девяноста пяти процентов.
Половое созревание представителей обоих полов наступает сравнительно рано. Так, случку или искусственное оплодотворение можно осуществлять уже в шестнадцать-восемнадцать месяцев. Как правило, даже первый отел протекает без проблем, поэтому он может быть осуществлен даже на пастбище. Репродуктивные качества животные сохраняют на протяжении десяти-двенадцати лет.
Случка осуществляется просто. Быков-осеменителей запускают в стадо на два месяца, за которые должно произойти оплодотворение самок. По истечении срока коров проверяют на стельность. В случае отрицательного результата животных отправляют на лечение или выбраковывают с последующим забоем на мясо.
Для того, чтобы бычки росли быстрее, их рекомендуется кастрировать уже в раннем возрасте.
Содержать коров породы можно двумя основными способами: беспривязным и традиционным (в коровниках). Первая методика предполагает постоянное нахождение животных на пастбищах с навесами. При этом запускать скот в стайки рекомендуется только в случае сильных морозов. В загоне должна находиться несменяемая подстилка толщиной в сорок сантиметров из соломы. Зимой ее необходимо периодически дополнять из расчета один-три килограмма на особь. Телята при этом должны содержаться только в чистых и сухих коровниках без сквозняков.
Второй, традиционный, вариант предполагает подготовку коровников. Для небольшого поголовья достаточно оборудовать деревянный сарай без сквозняков. Этот метод более затратный и требует систематических чисток и дезинфекций пола и стен.
Чтобы быстрее и проще приучить молодняк к сену и концентрированным кормам, рекомендуется строить загон для него в центре коровника.
Скот породы практически не подвержен болезням и не страдает воспалением легких и обморожениями. Однако делать прививки от бруцеллеза, пастереллеза, ящура, сибирской язвы и бешенства рекомендуется. Первую вакцинацию следует провести уже в двухмесячном возрасте.
Для того, чтобы снизить вероятность появления и распространения инфекций, необходимо один-два раза в месяц обрабатывать коровник гашеной известью или каустической содой. В случае обнаружения вялости, насморка, шишек или нагноений необходимо поместить пораженный скот в карантин и вызвать ветеринара.
В данном видео рассказывают о выращивании Касахстанского белоголового КРС.
http://oferme.ru/zhivotnye/korovy/kazahskaya-belogolovaya-poroda-4234/
http://fb.ru/article/296473/kazahskaya-belogolovaya-poroda-korov-harakteristiki-osobennosti-i-otzyivyi
http://poferme.com/zhivotnye/korovy/poroda/myasnaya/otechestvennye/kazahskaya-belogolovaya-harakteristika.html
Мясные породы
Коровы мясного направления должны обеспечить максимальное наращивание массы при оптимальном, с экономической точки зрения, кормлении.
Знаете ли вы? Большинство быков-гигантов проживает на сегодняшний день в Великобритании. Например, бык породы шароле Фельдмаршал весит более 1,7 тонны при росте в 1,9 метра (по данным 2008 года).
Признаки животного мясного направления очевидны:
- крепкое сложение прямоугольной формы (вид сбоку и сверху);
- равномерное развитие передней и задней частей;
- мощная грудь и развитые бёдра;
- большой размер и высокий рост;
- неразвитое вымя у коров;
- толстая кожа.
Мясные породы
Лимузин
Французские животные из района Лимузен, где их выведение началось в середине XVIII века. Туловище массивное, со средними крепкими ногами и маленьким выменем. Шея короткая, голова с большим лбом. Окрас шкуры золотисто–бурый. Неприхотливы и морозоустойчивы, с лёгким отёлом. Быки агрессивны (как и отелившиеся коровы, растящие телёнка).
Читайте подробнее о лимузинской породе КРС.
Шароле
Массивная порода из Франции известна с XVII века. Активно скрещивалась и проходила отбор по росту и массе. Корова значительно меньше быка. Цвет шкуры от молочно до коричневого. Тело прямоугольное, шея с крупными кожными складками. Растут животные до 2 лет, достигая роста в 1,6 м.
Вес быка-рекордсмена – 2 т (в среднем составляет 1–1,6 т). Коровы набирают до 750 кг при росте до 1,55 м. Телята рождаются массой до 70 кг (минимум 30).
Важно! Большой вес телят часто приводит к родовым травмам и высокому уровню смертности.
Герефордская
Английские коровы известны с XVIII века. Животные красной масти с белыми пятнами. Тело приземистое, с мощными ногами и широкой спиной. Неприхотливы в уходе, с устойчивым иммунитетом. Телята отличаются высокой жизнеспособностью. Мясо «мраморное», отличного вкуса.
Рекомендуем узнать подробнее об уходе за герефордской породой крупного рогатого скота.
Калмыцкая
Эти выносливые животные способны существовать в засушливом климате с резкими перепадами температур и скудным кормом. Телосложение компактное, с широкой спиной. Окрас красный с белыми пятнами, шерсть плотная. Могут быть на круглогодичном выпасе. Мясо красного цвета с жёлтыми прожилками, вкусное. После отёла коровы становятся агрессивными.
Узнайте подробнее о калмыцкой породе коров.
Бельгийская голубая
Порода с характерным внешним видом и неограниченным ростом массы. Животные отличаются гипертрофированной мускулатурой, тонкой кожей и редкой шерстью бело-голубого окраса. Характер спокойный, иммунитет неустойчивый. Не подходят для северных регионов. Требуют помощи при отёле.
Важно! Чтобы получить оптимальный рост массы, необходимо придерживаться специального выпаивания телят молоком до 2 месяцев.
Казахская белоголовая
Животные хорошо адаптированы к местным условиям, были скрещены с герефордской и калмыцкой особями. Телосложение крепкое, с массивными бёдрами и широкой спиной, окрас герефордский. Выносливые и неприхотливые, они отлично переносят суровый климат. Мясо с отличными вкусовыми качествами, «мраморное».
Узнайте подробнее о казахской белоголовой породе коров.
Телята рождаются с весом до 27 кг и растут с привесом до 1 кг в сутки. Коровы набирают до 600 кг, а быки – до 1 т. Выход мяса – 60–65%, удои – до 2000 литров в год с жирностью 3,8%.
Галловейская
Шотландская порода выведена в XVII веке. Чёрной масти, изредка тёмно–бурая или серовато–жёлтая. Шерсть объёмная, овечьего типа, длиной до 20 см. Без рогов. Выдерживает суровые климатические условия. Корова неприхотлива к рациону и уходу, скороспелая. Мясо «мраморное», высокого качества.
Читайте подробнее о галловейской породе коров.
Абердин-ангусская
Породу вывели в Шотландии в XIX веке. Безрогие животные чёрного или красного окраса с короткими ногами и выраженными мясными формами. Кости тонкие. Животные быстро наращивают массу и занимают первое место по скороспелости и качеству мяса. Могут находиться на открытом воздухе даже в мороз. Мясо с отличным вкусом, отличается «мраморностью», считается лучшим выбором для стейков.
Ознакомьтесь подробнее с абердин-ангусской породой коров.
Правда ли, что быки не любят красный цвет
Нелюбовь быков к красному цвету кажется доказанным фактом. Не зря тореадор размахивает перед носом животного ярким плащом (капоте), чтобы заставить зверя атаковать. Есть даже такое выражение – как красная тряпка для быка. К тому же, практически во всех культурах этот цвет символизирует агрессию и сильные чувства.
Как оказалось, в теории о быках и красном цвете домыслов намного больше, чем правды. Поэтому рассказываем, как дела обстоят на самом деле.
Какие цвета различают быки
Для начала стоит разобраться в особенностях зрение у быков. Быки, как и прочий крупный рогатый скот, действительно плохо различают цвета, им доступен не весь спектр, который видит человек.
Это обусловлено строением органов зрения и наблюдается у всех представителей вида. В сетчатке глаза находятся светочувствительные клетки, отвечающие за восприятие цвета.
От их количества и расположения зависит то, насколько хорошо животное видит днем и в темноте.
Такая особенность объясняется просто – для выживания быкам не нужно хорошо ориентироваться в цветах. Гораздо важнее для них панорамное зрение и возможность различать объекты в темноте. задача бычьего глаза – не передать яркое изображение окружающего мира, а вовремя заметить потенциальную угрозу. Ярко-красная тряпка тореадора для быков не более чем бледное пятно.
По большому счету для животного нет разницы, какого цвета ткань.
Тогда что же на самом деле раздражает быка
Если красный цвет не имеет никакого отношения к повышению уровня агрессии у быка, тогда в чем же дело? Почему животное свирепеет при виде капоте? На самом деле, если присмотреться, становиться понятно – одного взгляда на красную тряпку мало. Бык никак не реагирует на тореадора, когда тот выходит с плащом на арену. Но стоит только ему начать махать тряпкой перед зверем, и животное выходит из себя.
Все правильно: быка раздражает не цвет плаща, а сам факт движения. Ученые склонны полагать, что быки не только плохо различают цвета, но еще и близоруки. Мелькание ткани в непосредственной близости от себя они воспринимаю как вызов и попытку нападения. Теорию подтверждает эксперимент с двумя мужчинами.
Одного из добровольцев одели в красный костюм, а другого в черный. Первый неподвижно стоял на месте, а второй побежал, как только бык приблизился к нему. Животное не обратило внимания на мужчину в красном, а вот беглец не на шутку разозлил зверя. Причина, по которой тореадор всегда носит именно багровую накидку, никак не связана с особой нелюбовью быков к цвету.
У этой традиции давние корни и вполне объяснимое происхождение.
Почему плащ у тореадора всегда красный
Миф о о том, что красный приводит быков в ярость, возник благодаря корриде много веков назад. Ожесточенные противостояния зверя и человека в сочетании со столь зрелищным атрибутом заставляли многих поверить, что именно яркий цвет плаща провоцирует быка на нападение. Долгое время люди просто не задумывались об истинных причинах поведения животного.
На самом деле капоте могли бы быть любого цвета – бык бы все равно бросался на тореадора из-за движения. Почему тогда накидку всегда делают красной?Сегодня это отчасти это дань традиции, но когда-то выбор пал на насыщенный багровый оттенок исключительно из-за практических соображений. На красном фоне кровь менее заметна.
Подошел бы и черный, на котором все пятна не так бросаются в глаза, но здесь свою роль сыграла зрелищность представления. Тореадор с красным плащом более заметен на арене, цвет придает драматизма и театральности происходящему. Красный символизирует смерть одного из участников боя.Озлобленности быка тоже нашлось вполне логичное объяснение.
Для представления отбирают животных особой породы. С рождения у них вырабатывают агрессивное поведение. А чтобы и без того не самое дружелюбное животное стало еще более раздражительным, его какое-то время не кормят перед боем. Голод и назойливое размахивание перед носом тряпкой – такое мало кому понравится, а уж зверь с буйным нравом не станет сдерживаться.
Багровый цвет не вызывает у быков никаких особых эмоций, он лишь подчеркивает общую атмосферу страстей. Так, расхожее мнение о ненависти быков к красному оказалось не более чем мифом. Поверье уходит корнями в Средневековье, когда коррида стала популярным развлечением. С тех пор наука сильно продвинулась и доказала несостоятельность теории.
Поэтому фраза «как красная тряпка для быка» – просто эффектная фигура речи, не имеющая ничего общего с правдой.
- Елена Романенко
- Распечатать
Автор Елена Романенко ·
Учет и оценка молочной продуктивности коров
Для учета молочной продуктивности коров в хозяйствах организуют контрольные доения – периодический учет количества и качества молока. В племенных хозяйствах подекадный (один раз в 10 дней) для более точного учета, а в товарных – ежемесячный (один раз в месяц). При этом удой молока от коровы за месяц определяют расчетным путем. При подекадном контроле удой за контрольный день умножают на 10, сумма же трех таких дает удой за месяц лактации. При ежемесячном контроле – удой за контрольный день умножают на 30. Конечно, такая оценка уступает по точности индивидуальному ежесуточному учету удоев, но позволяет оценивать и сравнивать коров дойного стада между собой, а, следовательно, производить отбор животных по собственной продуктивности. Содержание жира и белка в молоке определяют один раз в месяц за два смежных дня.
Оценку коров по молочной продуктивности проводят по удою (кг), содержанию жира и белка в молоке (%) или количеству молочного жира (кг) за 305 дней лактации (зоотехнический учет). Первотелки оцениваются по показателям первой лактации, коровы с двумя отелами – по средней продуктивности за две лактации. Полновозрастные коровы – по средней продуктивности за любые три лактации.
Для высокопродуктивных коров учитывают пожизненный удой (суммарный удой за все лактации).
Индивидуальную молочную продуктивность коров оценивают следующими способами:
- по данным за всю лактацию (вне зависимости от ее продолжительности, но с указанием числа дойных дней);
- за первые 305 дней лактации;
- за календарный год;
- за всю жизнь.
При этом рассчитывают следующие показатели:
- среднесуточный удой = среднеарифметическое трех контрольных доек. (Наивысшего суточного удоя коровы, обычно, достигают на втором месяце лактации);
- удой за месяц = среднесуточный удой × количество дней в месяце;
- количество 1% молока = удой за месяц × содержание жира в молоке;
- количество молочного жира за лактацию = сумма 1% молока / 100;
- средний процент жира за лактацию = сумма 1% молока / удой за лактацию.
При сдаче продукции на молочный завод ведется пересчет молока на базисную жирность.
Базисная жирность – это процентное содержание жира в молоке, установленное для Российской Федерации. Этот показатель равен 3,4 %.
Пересчет на базисную жирность проводится по формуле:
(5)
где Км.б. – количество молока базисной жирности; Кф – количество молока фактической жирности; Жф – фактическая жирность молока; Жб – базисная жирность молока, проц.
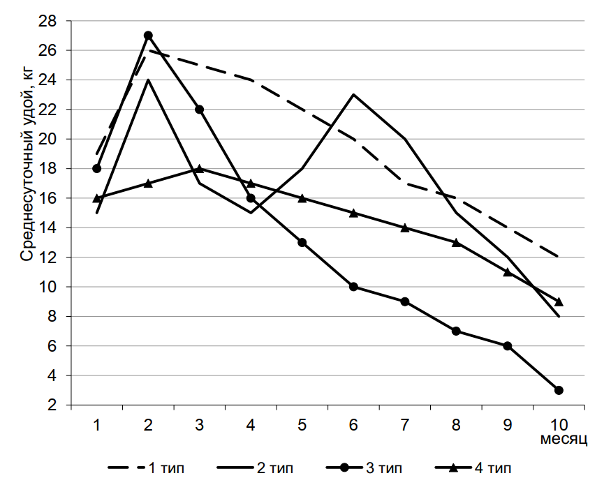
На протяжении лактации удои у коров неодинаковы. У каждой коровы свои индивидуальные изменения в удоях. Все изменения в количестве выделенного молока по отдельным дням, месяцам можно представить в виде лактационной кривой (графическое изображение суточных или месячных удоев за лактацию).
А.С. Емельянов выделил четыре типа коров по характеру лактационных кривых (рис. 2).

Рисунок 2 – Лактационные кривые коров (по А.С. Емельянову)
- тип – высокая устойчивая лактационная деятельность. Такие животные хорошо раздаиваются, значительно увеличивая уровень удоев к моменту достижения высшего суточного, способны долго удерживать заданный раздоем уровень продуктивности и постепенно снижают его к последним месяцам лактации.
- тип – высокая, но неустойчивая лактационная деятельность, для которой характерна двухвершинная лактационная кривая. Такие коровы хорошо раздаиваются, но после получения высшего суточного удоя их продуктивность спадает и поднимается вновь во второй половине лактации.
- тип – высокая, но неустойчивая, быстро спадающая лактация. Коровы с такой лактационной деятельностью хорошо раздаиваются, но не способны к длительному удержанию высоких удоев. Они довольно быстро снижаются на протяжении всей лактации.
- тип – устойчивая низкая лактация. Такая лактационная деятельность наблюдается у коров, не склонных к раздою, но при этом способных хорошо удерживать достигнутый уровень продуктивности в ходе лактации (коровы этого типа маломолочны).
Наиболее желательные типы коров для производства молока – это первый и второй, третий и четвертый – нежелательны и подлежат выбраковке.
Санта-Гертруда

Путем скрещивания шортгорнской особи с диким быком зебу был выведен новый вид мясных КРС – Санта Гертруда. Азиатский предок повлиял на ее строение.
В результате появилась горбатая корова с широким и мускулистым корпусом. Санта Гертруда порода неприхотлива в содержании и еде, отлично переносит жару. Горбатый вид характеризуется мускулистым, крупных размеров корпусом.
Это красные коровы с горбинкой, взрослая особь которых весит до 600 кг, а быки – до тонны. Корова с горбом имеет среднюю молочную производительность, мясной же выход составляет до 65%. Горбатого бычка можно откормить даже на кормах низкого качества.
Особенности животных следующие:
- редко болеют пироплазмозом;
- можно давать грубые корма;
- мясо хорошего вкусового качества;
- выносливы.
Минусом вида является низкая плодовитость коров.
Казахский белоголовый
Прародителями вида стали казахский, калмыцкий и герефордский быки. Особи быстро набирают массу. Вес взрослого быка – 1000 кг. Отличительная черта животных: туловище темного окраса и голова белого цвета.
Разведение казахских белоголовых быков на территории России пользуется особой популярностью. Они хорошо приживаются на любых территориях. Неприхотливы к корму. Находят пропитание даже на скудных пастбищах. Зимой обходятся второсортным сеном и соломой.
Мясо по качеству сравнивают с мясом шаролезских быков. Оно отличается низким содержанием жира. Качество молочной продукции стабильно высокое: в день корова дает 50 л молока. Вкус молочной продукции отличается приятной сладковатой ноткой, питательностью.
Мясные породы быков британского происхождения
Ознакомьтесь также с этими статьями
- Сорт сливы Венгерка
- Теплые грядки
- Лучшие сорта клубники с описанием и фото
- Клейковина пшеницы
Мясные породы быков из Британии отличаются значительной массой тела. У них очень вкусное мясо с небольшими жировыми прослойками, что делает его еще более сочным и нежным. Также стоит отметить, что многие из быков этих пород имеют мех, что обусловлено особенностями местного климата. Представители британских пород известны во всем мире и имеют отличные показатели.
- Абердин-ангусский бык был выведен в XIX веке в Шотландии. Уже в 1878 году чистокровное стадо было завезено в США, а затем и в другие страны по всему земному шару. Туловище округлое, костяк тонкий, но крепкий. Ноги короткие, но из-за обширного тела высота в холке может доходить до 150 см. Вес быков до 1000 кг. Голова небольшая, а шеи практически нет, голова почти сливается с плечами. Самцы безрогие. Масть черная или красная. Убойный выход «мраморного», сочного мяса, с редкими жировыми прослойками – 60%. Мясные породы быков британского происхождения
- Герефордская мясная порода быков была получена в XVIII веке. Считается самой популярной в мире. Имеет бочкообразное, широкое и приземистое телосложение, развитую мышечную систему. Средний вес быка – 900-1350 кг. Шея короткая, ноги сильные. Масть по большей части красная, а ноги и кисть хвостика – белые. Высота до 130 см. Быки не требуют серьезного ухода, передвигаются на большие расстояния, быстро приспосабилваются к новым погодным условиям. Мясо «мраморное», отличного вкуса, убойный выход высокий (70%). При этом смертность телят очень низкая, ежедневный привес – 800-1250 г.
- Шортгорнский бык появился в XVIII веке на северо-востоке Великобритании. В породе имеется два подвида – мясо-молочный и мясной. Используются для селекции, быстро акклиматизируются, но для южных областей не рекомендуется, так как быки покрыты короткой, но густой шерстью. Костяк сильный, конституция рыхлая. Вес быков достигает 950 кг. Окрас красный, красно-белый, белый или рыже-чалый. Мясо «мраморное», волокнистое и очень сочное, убойный выход до 67%. Молодняк отличается скороспелостью, но плодовитость понижена, так что особи этого вида дорого стоят.
- Галловейская порода мясных быков приспособлена к круглогодичному пастбищному содержанию. Хорошо акклиматизируются, плохая погода, частые осадки для них не страшны. Разводятся практически по всем континентам, очень популярны в Сибири. Костяк крепкий, туловище немного удлиненное. Тело покрыто густой, волнистой, но жесткой шерстью до 20 см. имеется мягкий подшерсток. Вес быков до 850 кг. Молодняк скороспелый, суточный привес до 1100 г. Мясо практически без жира, очень вкусное, убойный выход до 62%.
Белоголовая

Вид получили благодаря скрещиванию герефордских быков с калмыцкими и казахскими коровами. Главным качеством считается развитая мускулатура и крепкий костяк.
Такие показатели являются признаками мясного типа КРС. У большинства представителей казахских белоголовых наблюдается бочкообразное туловище и ровная верхняя линия.
Достоинства белоголовой породы:
- Хорошая адаптация к различному климату;
- Стойкость к болезням;
- Хорошая выносливость;
- Качественное мясо;
- Нетребовательность к кормам.
В данной породе выделяют поколения мясомолочных особей, которые дают как мясо, так и молоко.
Обработка молока и мяса

На крупных производствах молоко хранят в больших стальных цистернах.
При доении молоко необходимо содержать в стерильных условиях, т.к. в него легко может попасть мусор или начать размножаться бактерии. Если молоко находится в ведре, его следует процедить в другую емкость, которую можно закрыть. При фермерском доении легче соблюдать условия стерильности молока. Весь процесс автоматизирован и проходит в закрытых приспособлениях. Таким образом, молоко изначально защищено. Емкости для хранения должны быть чистыми, т.к. молоко легко может прокиснуть. Если оно не используется, то емкость необходимо поместить в прохладное место или холодильник.
При получении мяса также необходимо соблюдать стерильность. Место для убоя и разделки туши должно быть хорошо оборудованным и чистым. Полученное мясо необходимо упаковать и поместить в холодильную камеру. При длительном нахождении на открытом воздухе без обработки мясо быстро портится или в него могут попасть бактерии или паразиты.
Украинская мясная

Основной состав родительских пород на три четверти зарубежный. В выведении Украинского мясного КРС поучаствовали шаролезы, симменталы и киансьские. Из местных был только серый украинский скот.
Скот неприхотлив к условиям содержания и способен обходиться подножным кормом. Правда, эти животные поедают практически любые растения, что создает опасность для плодовых культур.
Животные высокорослые. Быки могут достигать 150 см в холке и веса 1,2 т. Коровы вырастают до 130 см и весят 550 кг. Выход мяса у них выше среднего: 50—64%.
Но основным достоинством этой породы является ее толстая шкура, идущая на изготовление кожаной обуви и других предметов обихода. Минусом является то, что порода относительно новая. Утверждена в 1993 году. Хотя общая численность поголовья сегодня достигает 10 тыс., о ней мало кто слышал и еще меньше видели.
Шортгорнская
Фото:

Порода коров шортгорнская – это помесь английской, голландской и галловейской. Они очень красивые, гармонично сложенные, имеют мускулистое тело. Шерсть красного оттенка.
Взрослые особи достигают 500 кг, быки – до 1000 кг. Но у головей есть и свой минус – низкая плодовитость. Эти животные часто болеют и переборчивы в еде.
Несомненными плюсами породы считаются:
- скороспелость;
- легкие отелы без осложнений;
- высокое качество производимой продукции;
- послушный нрав;
- быстрый откорм.
В России вид не получил большое продвижение из-за требовательности к кормам и условиям содержания, плохой акклиматизации и низкой плодовитости. Только в Тюменской, Воронежской, Ростовской области некоторые фермеры с успехом приспособили породу к климату и получают высокие показатели продуктивности.
Герефордская

У представителей данного вида крепкое телосложение. Они способны адаптироваться к климату северных и экваториальных стран, а также стойки к условиям любого пастбища и легко переносят долгие перегоны.
Внешние признаки, по которым массивные мускулистые животные отличаются от других видов:
- Короткая шея и широкая крепкая голова белого цвета;
- Рога белые с темными кончиками;
- Красно-коричневая масть;
- Нос и губы, загривок, шерсть на животе и шее, кисточка на хвосте белого цвета;
- Длинное тело с выпуклыми боками, покрытое толстой кожей;
- Ноги короткие;
- Молочные железы выражены слабо.
На данный момент герефорды считаются самыми распространенными мясными животными в мире. Они быстро растут, долго живут, в еде не привередливы и дают хорошее потомство. Имея крепкую конституцию, самки легко телятся, что снижает смертность новорожденных телят.
Герефордские коровы молока дают немного, но убойный выход составляет 60-70%. «Мраморное» мясо сочное и питательное, содержит много калорий, благодаря этому волокна тонкие с однородной жировой прослойкой.
Шкура герефордов, за счет толщины и эластичности, имеет хорошее качество. Ее используют в обувной промышленности для изготовления каркаса обуви, подошв и стелек. Также изготовляют кошельки, сумки и другие кожаные изделия.
Салерс
Порода Салерс выведена в горных районах Центральной Франции. Отличается неприхотливостью к условиям кормления и содержания. В прошлом салерский скот имел рабоче-молочно-мясное направление. Животные характеризовались отличной тягловой силой и использовались на сельскохозяйственных работах. Это аборигенный французский скот, который является едва ли не единственной породой Франции, которая используется как для производства мяса, так и молока. Так, в настоящее время 95% этого скота разводится для целей производства мяса и 5% – для производства молока, которое идет на изготовление знаменитых французских сыров (канталь, салерс, сеннектер).
корова породы Салерс

Салерсы повсеместно признаны и известны своей плодовитостью и длительным сроком продуктивного использования. Порода разводится в 25 странах на пяти континентах. Их главное преимущество заключается в легкости отелов даже при скрещивании с быками крупных пород. Такие качества гарантируют ежегодно теленка от каждой коровы. Коровы породы салерс отличаются хорошими материнскими качествами, что позволяет получать высокую скорость роста у телят подсосного периода выращивания и ко времени отъема телята имеют живую массу 260-280 кг без дополнительной подкормки. Молочная продуктивность коров составляет 1800-2000 кг, легкость отела – 98%.
бык породы Салерс

Масть животных темно-красная. Животные имеют компактное телосложение в форме прямоугольника. Голова средней величины; носовое зеркало светлое; рога длинные, направлены в стороны и вверх. Грудь глубокая, с хорошо развитым подгрудком. Передняя и задняя части туловища хорошо развиты, костяк крепкий, конечности правильно поставлены.
телята породы Салерс

Телята при рождении весят: телки – 34-36 кг, бычки – 36-40 кг. Масса молодняка в 4-месячном возрасте достигает у телок 120-130 кг, бычков – 150-160 кг. К возрасту 8 месяцев масса телок достигает 230-240 кг, бычков – 260-280 кг. Масса взрослых коров – 650-900 кг, быков – 1000-1300 кг.
Молодняк отличается высокой скоростью роста при среднесуточных приростах живой массы 900-1100 г. Живая масса бычков в возрасте 12 месяцев составляет 400-420 кг. Убойный выход у бычков составляет 60%. В Россию животных породы салерс впервые завезли в 1998 году в хозяйства Белгородской области и в 2002-2003 гг. – в Тюменскую область, где они показали неплохие адаптационные и продуктивные качества. Сейчас идет дальнейшее изучение возможности широкого использования данной породы в нашей стране.
Основные требования при выборе мясных пород по продуктивности:
• высокая интенсивность роста молодняка в течение длительного периода, большая конечная живая масса, высокое качество туш, хорошая окупаемость кормов;
• хорошие воспроизводительные качества маток, которые обеспечивают ежегодно получение от каждой коровы жизнеспособного теленка;
• высокая молочность коров, их способность к длительному использованию;
• способность животных к акклиматизации.
Уровень эффективности специализированного мясного скотоводства определяют селекционные, технологические, ветеринарно-санитарные и организационные факторы.
Таблица – хозяйственные показатели пород мясного скота

таблицу показателей пород мясного скота
Характеристика и виды пород
В наше время виды данных животных разделяются на три вида:
- Молочные – особи, которых разводят для производства молочной продукции. Из-за их худощавого телосложения использование для производства говядины становится невыгодным, но они отличаются спокойным характером и уравновешенным поведением.
- Мясные породы быков выделяются крупными габаритами по сравнению с предыдущими представителями. Быстрый прирост мышечной массы обеспечивает большое количество мяса и его высокое качество.
- Комбинированные, то есть универсальные породы, характеризуются тем, что совмещают в себе качество обоих направлений.
Лимузинская
Данная разновидность обладает большим запасом мяса, поэтому используется для забоя. Она была выведена во Франции благодаря долгой селекции в течении XVIII-XIX веков. На территории СССР ее представители появились в середине прошлого века. Сейчас их используют для выведения новой породы путем селекции с более молочными особями. В России численность скота этой породы сравнительно небольшое, только 1,8% от всего поголовья.
К особенностям строения тела лимузинских быков относятся:
- крепкие ноги;
- массивные мышцы;
- маленькая голова и широкий лоб;
- широкая грудь и округлые массивные ребра.
Внешний вид отличается красно-бурыми цветами масти и светлыми оттенками рогов и копыт. Масса самок около 600 кг, а быков достигает 1100 кг. В год дают примерно 1700 кг молока жирностью 5%. Коровы очень непривередливы к условиям содержания, способны переносить сильные морозы и легко телятся.
Симментальская
Симментальская корова относится к комбинированным породам скота. Ее завезли к нам из Швейцарии около 200 лет назад. Их мускулатура развита, вес достигает 1100 кг, а бык вырастает до 145 см в холке. Окраска обычно бледно-желтых оттенков, иногда с белыми пятнами. Годовой удой одной особи составляет примерно 4500 кг. Также их часто скрещивают с другими молочными видами для увеличения производства и качества молока.
Корова симментальской породы готова приносить потомство уже на 31 месяц и телиться каждый год. Отел происходит легко, что при необходимости дает возможность принять роды прямо посреди поля. Телята также не привередливы к еде, могут долгое время кормиться молоком, что позволяет не заботиться о их пропитании. Представители этой породы могут набирать по килограмму в сутки. Кроме того, они очень хорошо адаптируются к погодным условиям.
Где выращивают мраморную говядину?
Существует несколько стран, преуспевших в изготовлении мраморной говядины. Во-первых, это США. Американцы очень скрупулезно подошли к вопросу производства этого деликатеса: разработали стандарты, описали их и даже опубликовали каталоги, с помощью которых можно было заказывать мраморное мясо.
Еще одно государство, которое, фактически, является родиной производства мраморной говядины, – это Япония. Там получила широкое распространение старинная технология «Кобе». Стоимость японской говядины невероятно высока: цена за 1 кг достигает 500 долларов.
В настоящее время на рынке поставок мраморного мяса в страны СНГ лидирует Австралия.
Особенности
В отличие от молочных и смешанных типов, мясные имеют кардинально иные физиологические и растительные процессы организма. Их основное предназначение – наращивание мышечной ткани и набор веса.
К общим параметрам коров мясных пород относятся:
- скороспелость;
- стремительное формирование и набор массы;
- специфика строения тела.
Имеют развитый удлиненный корпус с округленными бедрами. Тыльная и передняя его части примерно одной величины и похожи на прямоугольник. Грудная клетка мощная и глубокая. Внушительные габариты при высоком росте. Они превосходят по весу и росту коров молочных и комбинированных типов. Вымя практически не развито и дает молока в основном в том количестве, которое необходимо для вскармливания потомства. Существует 3 вида мясных коров:
- Породы интенсивного роста. Активно набирают вес и рост. Имеют очень сочное, жирное и нежное мясо с максимальным содержанием протеина. Максимально популярные породы.
- Породы медленного роста. Массу нагуливают к 1,5–2 годам. Самостоятельные, неприхотливые, с отличным иммунитетом. Мясо постное, потому как преобладает мышечная ткань.
- Породы крупные мясные. Их производят методом скрещивания диких зебу с домашними быками. Эта группа характеризуется скороспелостью и наибольшими показателями роста и массы. В основном разводят в странах с жаркими климатическими условиями.
Важно! Мясным породам свойственна неоднородность в своей популяции, что требуют тщательности и внимания при формировании стада. Случается, попадаются коровы с повышенным удоем
Их отбирают для дальнейшего формирования и улучшения мясо-молочных пород.

























































